超导是凝聚态物质中的电子发生配对和凝聚以后的宏观量子相干现象,具有零电阻和完全抗磁性等奇特性质。基于超导开发的装备和器件可以在电力、能源、医疗、大科学工程、通讯、国防等方面带来颠覆性的应用,因此世界上很多发达国家都把超导列为21世纪的战略高技术进行支持和研究。2023年3月7日,美国罗切斯特大学的Ranga Dias副教授团队在美国物理学会的三月大会上面报道说在一种掺氮的镥氢化物(nitrogen doped lutetium hydride)中发现近常压下的室温超导,即在约1万大气压下,超导转变温度达到294 开尔文(K),约等于21摄氏度。该结果于3月8日在Nature杂志在线发表出来,迅速引起了全球学术界,甚至是产业界的极大关注。该结果如果被证实,将是超导研究历史上革命性的进展,而且可能带来大规模的室温超导应用。凯发k8官网闻海虎教授团队迅速投入工作,基于长期积累的技术手段和经验,创新性地利用高温高压合成手段,成功制备出来结构与罗切斯特大学报道一致的镥-氢-氮材料,并且利用本组具备的高压下电阻和磁化精密测量技术,证明了该材料即便在40万大气压下,温度低至2K也没有观察到超导现象。该重要结果于2023年5月11日在Nature杂志以Regular Article的形式在线发表。
当刚刚知晓罗切斯特大学的结果后,凯发k8官网团队发现原文中提供的样品制备温度过低,因此他们基于本组具备的高温高压合成技术和长期摸索的在高压下的氢化技术,迅速确定了自己的合成方案,并很快制备出来这种镥-氢-氮材料。经过X-光衍射检测,发现几乎所有衍射峰均与罗切斯特大学的结果符合很好,通过对X-光衍射谱的拟合发现该材料满足一种面心立方结构(空间群Fm3m)。X-光电子能谱分析发现样品中有氮的存在,但是分布是不均匀的,其平均的原子占比在1.2%左右,这些与罗切斯特大学的结果也是基本一致的。此外,在样品中测量到的拉曼谱也显示出四个主峰,并且其位置也都与罗切斯特大学的结果几乎一致。因此,多种手段测量说明凯发k8官网团队合成的这种镥-氢-氮化合物与罗切斯特大学样品的结构是一致的。
下一步是检验其超导电性是否存在。他们开始测量了高压下的电阻随温度的变化,发现在10K以上,6万大气压下是没有超导零电阻现象的。紧接着,他们又测量了更高压力诱导的材料颜色演化和电阻随温度的变化。其结果如图1所

图1. 镥-氢-氮材料在压力下的颜色(a)和电阻-温度曲线(b)的演化规律。
示。图1(a)显示的是样品在室温下的颜色随压力的变化。在常压下样品呈现深蓝色;当压力加到约11万大气压时,样品的颜色逐渐向紫红色转变;当压力加到约21万大气压的时候,样品颜色又向粉红色转变,并且该颜色持续到测量的最高压力(41万大气压)。当压力撤销以后,该样品颜色又变成了深蓝色。随着压力的升高,拉曼谱吸收带的波数也在这两个颜色转变的压力区间发生斜率的变化。图1(b)显示的是样品电阻-温度曲线随压力的演化情况。无论是在近常压 (4000大气压下,样品为深蓝色),还是在40.1万大气压下(样品为粉红色),电阻随温度的变化曲线均显示在温度低至2K,都没有发现超导转变。这表明虽然罗切斯特大学研究组报道的样品颜色变化是可以重复的,但并没有超导零电阻现象的出现。

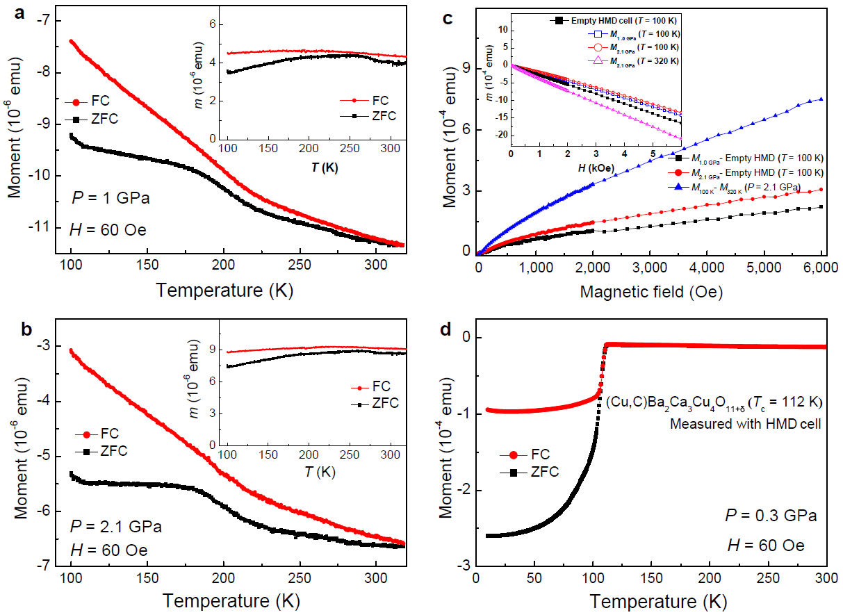
图2. 镥-氢-氮样品的磁矩随温度和磁场的演变。
为了进一步探明该类材料中有没有超导电性,还需要从另外一个角度,即迈斯纳抗磁特性方面得到证据。图2 显示的是对镥-氢-氮样品和已知的超导体的磁矩随温度变化关系的测量结果。为了与罗切斯特大学的结果更好地比较,他们使用了同样的磁场(60高斯)。 图2 (a), (b) 主图显示的是包含镥-氢-氮样品和高压测量装置的总磁矩随温度的演变关系,测量条件分别是1万和2.1万大气压,磁场为60高斯。扣除高压测量装置的磁化背景以后,如插图所示,镥-氢-氮样品呈现出的是一个极微弱的正磁矩信号,而且当温度在100-350K之间变化的时候,没有任何对应超导转变的抗磁信号。图2(c)主图显示的是来自于该样品的磁矩随磁场的变化,呈现出一个正值而且单调增加的行为,与超导体的行为完全不符,反而与顺磁金属态的行为吻合。为了与一个真正的超导体的信号进行比较,
此前,中科院物理所的两个团队报道了不含氮的镥氢化物不存在近常压的室温超导现象。靳常青团队发现Lu4H23 相只有在218万大气压下,在71K以下才出现超导电性;程金光团队测量了镥氢化物(LuH2)的颜色和电阻随压力的变化,发现颜色变化规律与罗切斯特大学一致,但是加压到7.1万大气压,降温到1.5 K也没有发现超导。凯发k8官网团队采用与罗切斯特大学研究组结构一致的镥-氢-氮材料,测量数据清晰地表明含氮的镥-氢-氮材料即便是加压到40万大气压,温度降至2K也没有超导出现,更谈不上近常压下的室温超导。后续又有更多小组也都实验证明了凯发k8官网这个最早的结论,即镥-氢-氮材料中不存在近常压下的室温超导。
尽管凯发k8官网团队的工作只是对罗切斯特大学近常压室温超导的否定,但是其意义是非常重要的。首先,科学研究中除了要发现未知现象,去伪存真也是重要的一环。任何一个重要的科学发现都需要其他小组的证实和重复,而罗切斯特大学的结果在短时间内直接被否定,因此他们必须要用更有说服力的证据向世界证明这个近常压的室温超导的存在。其次,此项研究迅速推动了含氢稀土化合物的物理性质的研究,特别是含氢的金属材料的光学和电学性质的研究。最后,最为重要的是,该项研究激发了人们在含轻元素金属化合物中探寻常压下室温超导的兴趣和努力。希望真正的常压室温超导早日被人类发现。
此项工作是由凯发k8官网闻海虎教授团队主导完成,包括样品制备,X-光衍射和分析,X-光能谱和成分分析,常压和高压下的电阻和磁化测量等。 拉曼谱的测量系与孙建教授和奚啸翔教授小组合作完成的。工作的共同第一作者是明学和张英杰博士生,通讯作者是祝熙宇副教授、李庆助理研究员和闻海虎教授。
此工作得到国家重点研发计划物态调控项目、自然科学基金委、教育部一流学科建设、 2011计划“人工微结构科学与技术协同创新中心”的支持,在此表示感谢。
文章链接:
Absence of near-ambient superconductivity in LuH2±xNy
https://doi.org/10.1038/s41586-023-06162-w
Xue Ming, Ying-Jie Zhang, Xiyu Zhu*, Qing Li*, Chengping He, Yuecong Liu, Tianheng Huang, Gan Liu, Bo Zheng, Huan Yang, Jian Sun, Xiaoxiang Xi & Hai-Hu Wen*. Nature (2023).