从线性前体到环形成的大环化过程可以大幅改变分子的三维结构,进而影响其生物功能。硫酯酶(TE)介导的大环化被认为是聚酮和非核糖体肽类生物合成中最典型的大环化策略,另外还有P450、rieske型氧化酶和自由基酶可以催化大环形成,如vancomycin,metacycloprodigiosin和streptide中的大环构建。此外,大自然还会采用一些非常规的方式来构建大环骨架,例如Diels-Alder酶通过环加成反应构建pyrroindomycin中的大环,双功能氧化酶LkcE催化独特的酰胺氧化和曼尼希反应构建lankacidin中的大环体系。因此,了解自然如何将无环前体生成大环分子,可以为生物/化学构建功能大环分子提供新的灵感。
Alchivemycin A(AVM,1)是从植物内生放线菌Streptomyces sp. TP-A0867中分离得到的高度氧化的抗菌聚酮化合物,结构复杂,具有17元N杂环、十氢萘环、罕见的2H-四氢-4,6-二氧代-1,2-恶嗪环(TDO)、环氧环及16个手性中心。在前期的研究中,凯发k8官网生命科学学院戈惠明教授团队已经阐明了AVM生物合成过程中涉及六种氧化还原酶的次级代谢网络,包括独特的酰胺键间的插氧(J. Am. Chem. Soc. 2021, 143, 4751−4757.),但对于其大环形成过程仍然是未知的。近期,该团队继续对这一大环化过程进行了解析。

Fig. 1 | Macrocyclic reactions involved in natural product biosynthesis.
为了解其环化机制,作者首先对基因簇中剩余的未确认功能的基因进行敲除,发现avmM与化合物2中的16元大环形成相关。进一步的体外酶催化发现:AvmM可以在不需要任何辅因子情况下迅速将化合物3环化,形成2。化合物3到2的环化过程,涉及羟基的离去及C-N键的形成,但反应结果与SN反应不符。重水标记实验发现C25位羰基α-H被一个D标记,因此推测反应中首先发生发生β-消除形成双键,随后通过迈克尔加成环化,虽然在反应时间曲线中未捕捉到脱水成双键的中间体。

Fig. 2 | Characterization of AvmM as a macrocyclase.
随后的生物信息学分析发现,无论是一级序列还是三级序列,在数据库中都未找到任何蛋白与AvmM相似。为进一步了解AvmM的催化过程,通过在蛋白中引入硒代甲硫氨酸确定相位,最终得到了AvmM(2.09 ?)及AvmM-2(2.5 ?)复合晶体结构,发现AvmM以几乎仅由β折叠组成的同源三聚体形式存在。

Fig. 3 | Crystal structures and point mutations of AvmM.
随后结合晶体结构、分子对接及分子动力学模拟,对蛋白活性位点进行了点突变验证。同时,在AvmM-L182A的催化中检测到痕量极不稳定的推测的脱水中间体存在,并最终鉴定其为脱水化合物4。

Fig. 4 | MD and DFT analysis.
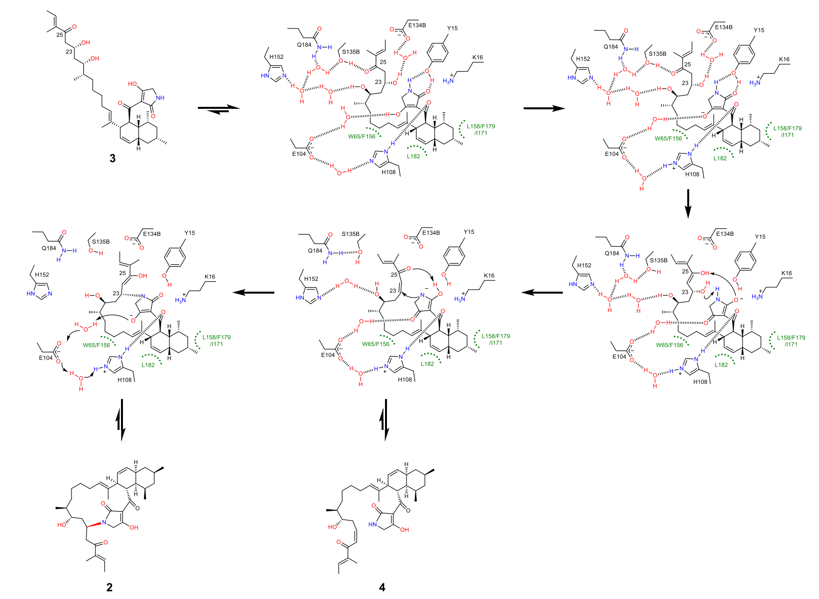
不同于经典的PKS脱水步骤:需要组氨酸作为碱夺取羰基的α-H,然后为为β-OH提供质子完成脱水。在分子模拟中发现,底物3的5 ?范围内,没有任何氨基酸残基可以作为碱夺取3中的α-H (H-24)。为了揭示其独特的反应机理,进一步进行了DFT计算。并根据上述所有结果分析了AvmM的催化机理:关键残基E104和H108可以通过质子中继由特特拉姆酸部分来夺取质/提供质子以引发脱水反应,随后N进攻β-C (C-23)进行迈克尔加成,烯醇中间态质子化后得到环化的产物2。同时,16元大环的形成可以显著改变底物3中柔性侧链的构象,使得侧链与蛋白残基的氢键相互作用消失,从而利于产物2的释放完成催化循环。

Fig. 5 | Proposed reaction mechanism for AvmM.
总之,作者通过体内基因敲除、体外生化实验、晶体学研究、MD模拟及DFT计算,详细阐释了AvmM可以通过催化串联β-消除和迈克尔加成构建16元大环,揭示了天然产物生物合成中的一种新的大环化策略。该研究也将为大环功能分子的酶学或化学构建提供思路。
近期,该项工作以"AvmM catalyses macrocyclization through dehydration/michael-type addition in alchivemycin A biosynthesis"为题,发表在Nature Communications上,凯发k8官网生命科学学院朱宏杰博士、张博副教授和化学化工学院魏婉清博士为文章共同第一作者,生命科学学院戈惠明教授、谭仁祥教授和化学化工学院梁勇教授为文章通讯作者。该项研究工作得到国家杰出青年基金、国家重点研发计划等项目的资助。

原文链接:https://www.nature.com/articles/s41467-022-32088-4